OPERATIONS MANAGEMENT
DRAWING THE CPM NETWORK:
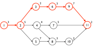
Example: Construct a network (CPM Network) for a project whose activities and their predecessor relationship are given:
Activity A B C D E F G H I J K
Predecessor - - - A B B C D E H,I F,G
Solution:
Steps:
- Draw a circle to represent starting event.
- Draw three lines to represent activity A, B and C .
- Draw three circles at the end of A, B and C to represent the end event of activities.
- Draw a line from the end of the event A to represent the start of activity D.
- Draw two lines from the end of the event B to represent the start of activities E and F.
- Draw a line from the end of the event C to represent the start of activity G.
- Draw the circle at the end of each activity to represent end event of the activity.
- Draw a line from the end of the event D to represent the start of activity H.
- Draw a line from the end of the event E to represent the start of activity I.
- Merge the lines representing activities H and I at common event because event J can only be started when activities H and I are completed.
- Similarly merge the lines representing the activities F and G at common event because event K can only be started when activities F and G are completed.
- Merge the lines representing the activities J and K to represent end of the project.
- Complete the network diagram by numbering the events by using Fulkerson’s rule.

CRITICAL PATH:
A path in a network (CPM Network) diagram is a sequence of activities which have to be completed sequentially due to precedence requirements. The path or paths with the largest time duration is called critical path and all the activities on the critical paths are called critical activities. All other paths are called Non-critical path.

For the above diagram, number of paths and their total duration to complete the project are given below.
1. Path A = (1-2)-(2-3)-(3-6)-(6-9)-(9-11) = 3+2+3+7+2 = 17 days
2. Path B = (1-2)-(2-4)-(4-7)-(7-11) = 3+5+4+5+2 = 14 days
3. Path C = (1-2)-(2-5)-(5-8)-(8-10) = 3+7+3+2 = 15 days
Thus it is clear that Path A have the largest time duration thus Path A is the critical path and activities on the Path A are critical activities.
FLOAT OR SLACK VALUES:
SLACK is used for events and FLOAT is used for activities.
Float or Slack refers to the amount of time by which a particular activity or event can be delayed without affecting the time schedule of the network. There are four types of floats:
(1) Total Float (2) Free Float (3) Independent Float (4) Interfering Float
(1) Total Float:
Total Float is concerned with overall project duration. It is defined as the amount of time by which completion of an activity can be delayed beyond earliest expected completion time without affecting overall project duration time.
It denotes the amount of time by which an activity can be delayed without delaying the project completion time. Thus it is the extra time available for an activity without changing the project schedule.
If it is positive then it means resources are surplus and can be allocated to other activities.
and
If it is negative then it means resources are not sufficient and activity may not complete on time.
and
If it is zero then it means resources are just sufficient to complete activity at time.
Total Float = Latest Finish Time – Earliest Finish Time
= Latest Start Time – Earliest Start Time
T.F = L.F.T – E.F.T or L.S.T – E.S.T
(2) Free Float:
Free Float is the amount of time by which the completion of an activity could be delayed beyond the earliest finish time without affecting the earliest start time of a succeeding activity.
It is the amount of total float which can be used without affecting the float of succeeding activities. Thus, it is the extra time by which an activity can be delayed so that the succeeding activity can be started at their earliest start time.
This is based on the assumption that all activities start as early as possible.
Free Float = Total Float – Head Event Slack
F.F = T.F – H.E.S
Head Event Slack = Latest Event Time at Head – Earliest Event Time at Head
H.E.S = (TL)j – (TE)j
(3) Independent Float:
Independent Float is the amount of time by which the start of an activity can be delayed without affecting earliest start time of any immediately following activities assuming that preceding activity has finished at its latest finish time.
It is the amount of float time which can be used without affecting either the head or the tail event.
Independent Float = Free Float – Tail Event Slack
I.F = F.F – T.E.S
Tail Event Slack = Latest Event Time at Tail – Earliest Event Time at Tail
T.E.S = (TL)i – (TE)i
SUMMARY:
STEPS TO BE FOLLOWED IN CPM:
- Draw network diagram
- Calculate time schedule for each activity
- Earliest Start Time (EST) Forward Pass Computation
- Latest Finish Time (LFT) Backward Pass Computation
- Calculate EFT and LST
- Earliest Finish Time (EFT) = EST + Time Duration
- Latest Finish Time (LFT) = LFT – Time Duration
- Calculate Float
- Total Float = LST -EST or LFT – EFT
- Free Float = Total Float – Head Event Slack
- Independent Float = Free Float – Tail Event Slack
- Identify Critical Activities and Find Critical Path
RELATED VIDEOS FOR CPM & PERT: